6高阶等差级数

设有一数列

a1, a2, L , an, L (1)

如果接连地从它的后一项减去前一项,那末就得到原数列(1)的第一次差构成的数列

a2-a1, a3-a2, L , an-an-1, L (2)

再接连地将(2)的后一项减去前一项,又得到数列(1)的第二次差构成的数列.依次类推:

 		a1		a2		a3		a4		L    
 	第一次差		d1=Da1		Da2		Da3		L    
 	第二次差			d2=D2a1		D2a2		L    
 	第三次差				d3=D3a1		L    
						L    L 

式中

如果做了r次,数列(1)的每个第r次差都相等,那末以后各次差都等于零,则称数列(1)r阶等差数列.与这样的数列相应的级数称为r阶等差级数.一阶等差级数也就是通常的算术级数.

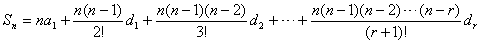
(1)r阶等差数列,并设d1(1)的第一次差构成的数列的首项,d2(1)的第二次差构成的数列的首项,...,dr(1)的第r次差构成的数列的首项,则有

通项公式 (n>r)

n项和